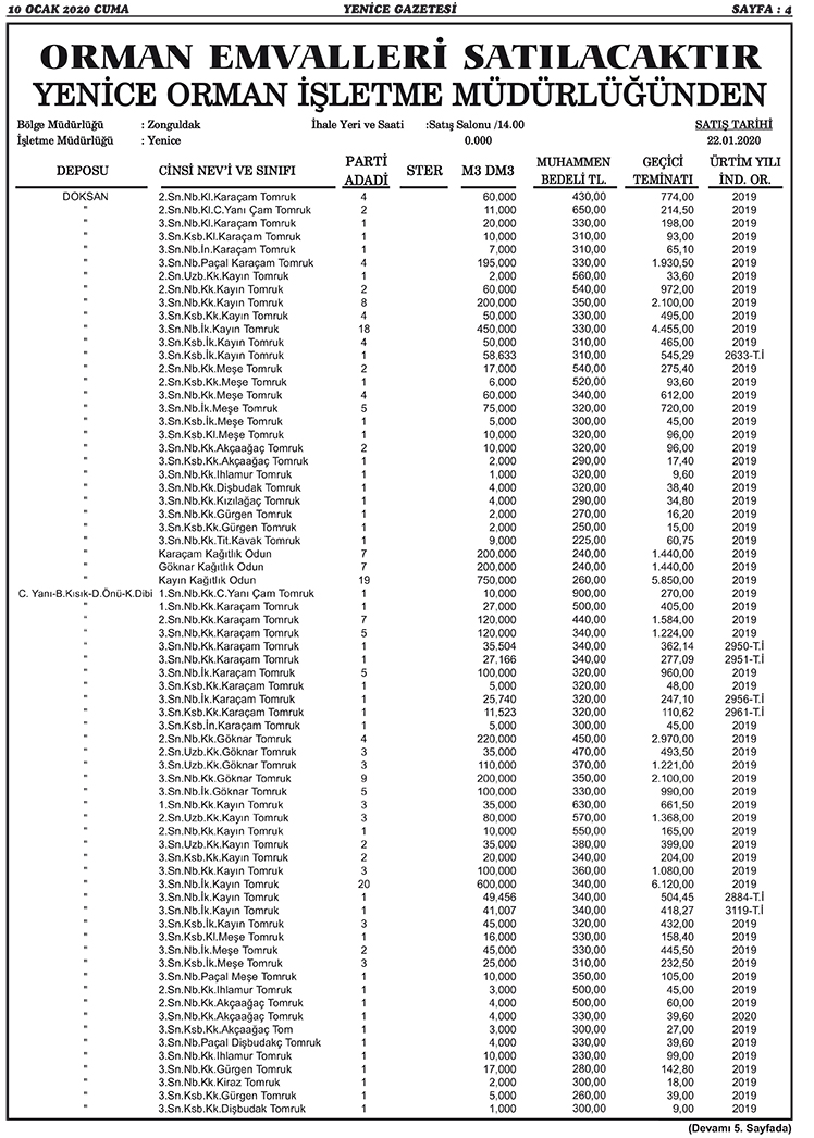
10 OCAK 2020